
清空记录
历史记录
取消
清空记录
历史记录

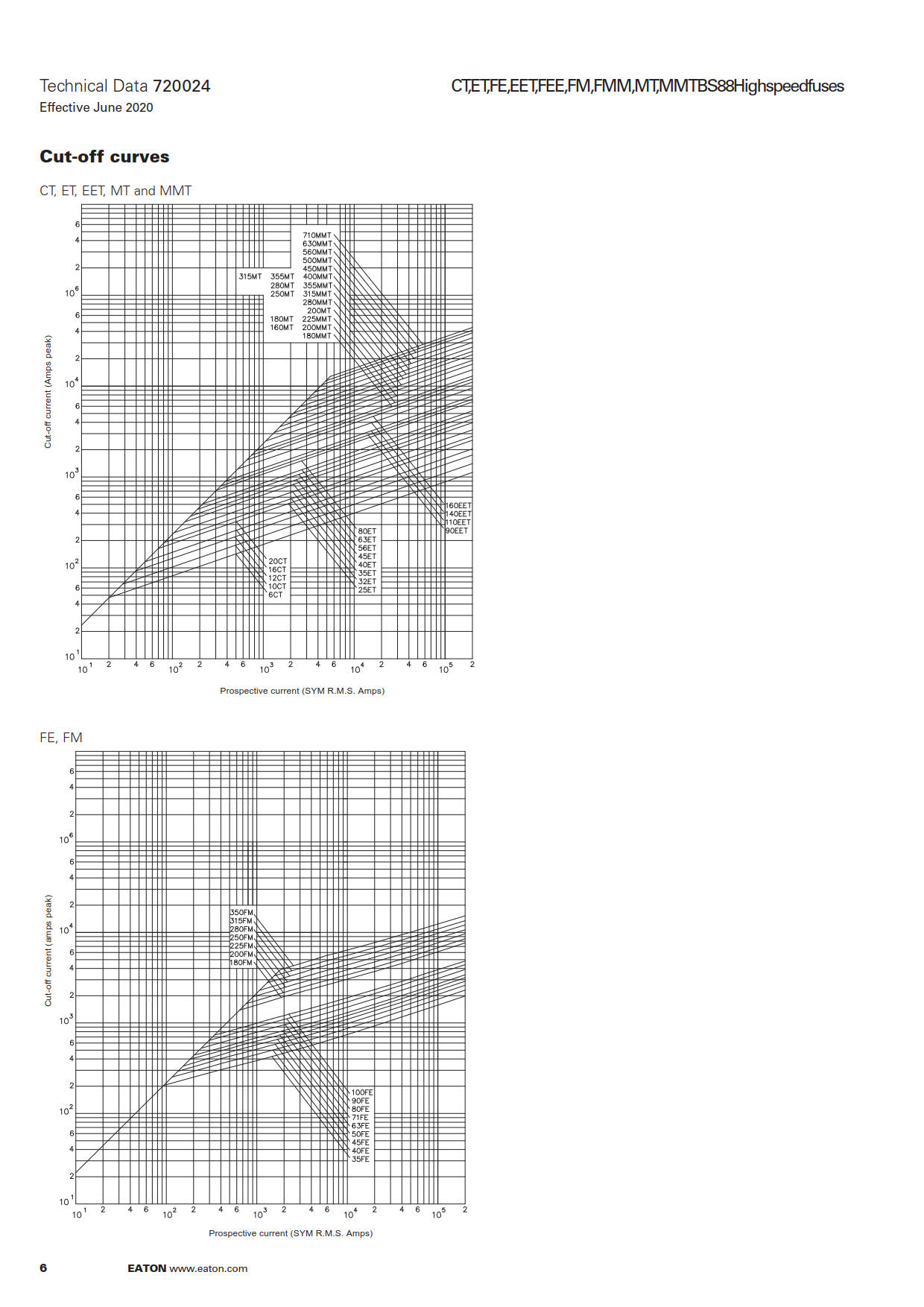
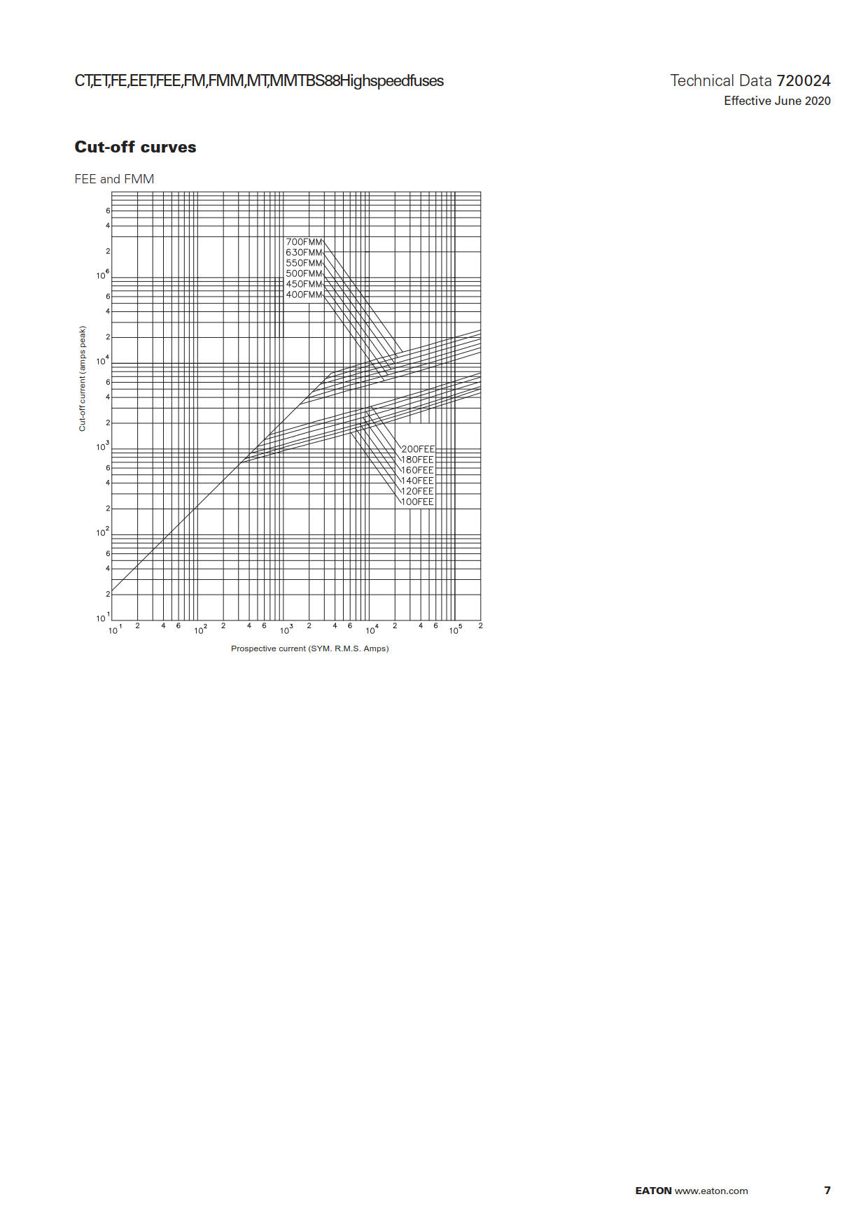
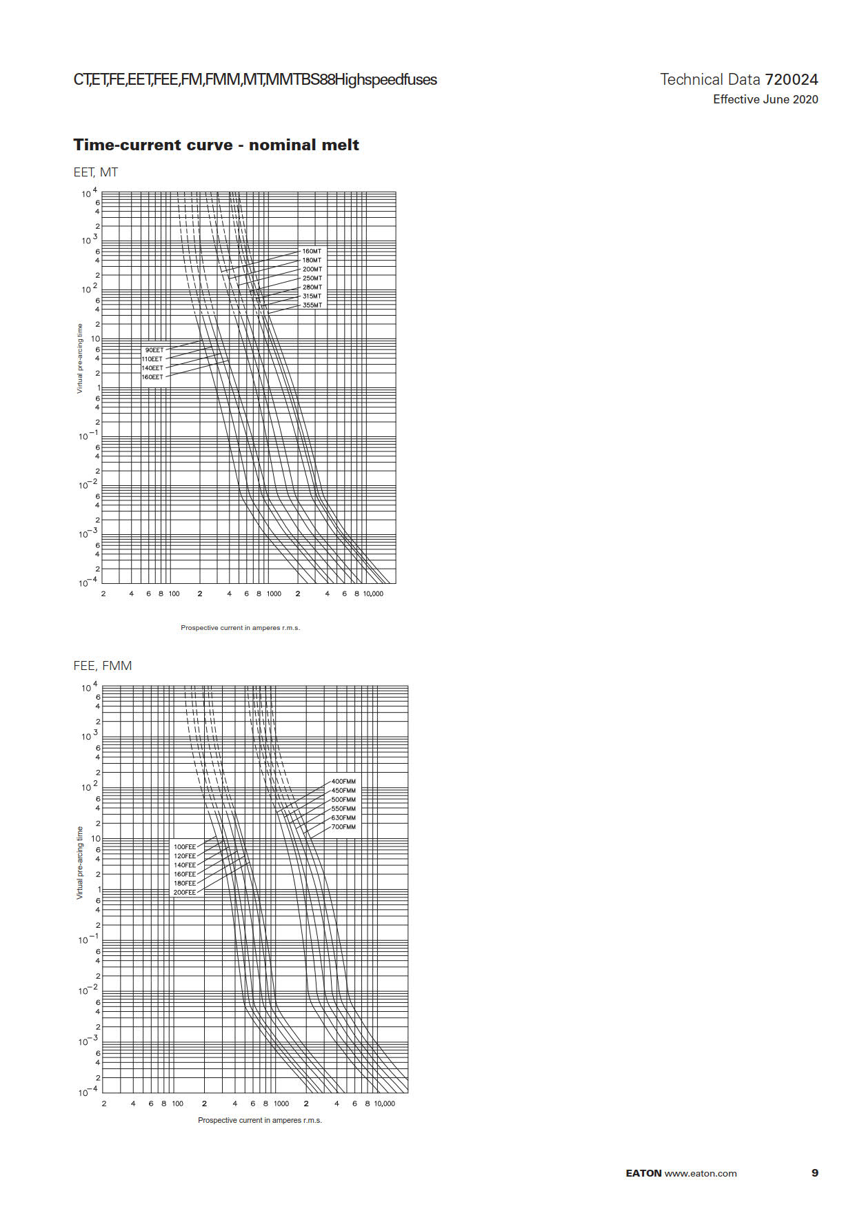
Eaton Bussmann BS88 style CT series bolted tags high speed fuses British standard fuse, Single barrel, that the protection of DC common bus, DC drives, power converters /rectifiers and reduced rated voltage starters.



















Eaton Bussmann BS88 style CT series bolted tags high speed fuses British standard fuse, Single barrel, that the protection of DC common bus, DC drives, power converters /rectifiers and reduced rated voltage starters.









